Postingan

Menampilkan postingan dari April, 2023

Fungsi Pembangkit by Elwinda

Gambar
Fungsi pembangkit (generator function) merupakan sebuah fungsi yang dibangkitkan dari sebuah barisan bilangan. Dimana fungsi ini berbentuk deret kuasa yang dinotasikan dengan G(x). Jenis-jenis Fungsi Pembangkit 1.Fungsi Pembangkit Biasa (FPB) 2.Fungsi Pembangakit Ekponensial (FPE)

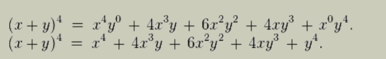
Teori Binomial dan Multinomial by Elwinda

Gambar
Teorema binomial adalah teorema yang menjelaskan mengenai pengembangan eksponen dari penjumlahan antara dua variabel, Sedangkan teorema multinomial adalah teorema yang menjelaskan mengenai pengembangan eksponen dari penjumlahan antara lebih dari dua peubah atau variabel.

Fungsi pembangkit by annisatul ahyar batubara

Gambar
  fungsi pembangkit  adalah sebuah cara menyatakan suku-suku dari barisan takhingga   sebagai koefisien-koefisien suatu dret pangkat formal . Deret yang dihasilkan proses ini disebut dengan fungsi pembangkit dari barisan tersebut. Jenis-jenis Fungsi Pembangkit  1.Fungsi Pembangkit Biasa (FPB)  2.Fungsi Pembangakit Ekponensial (FPE)  Contoh soal pembahasan

Fungsi pembangkit by Miftahul jannah

Gambar
 

Fungsi pembangkit by Namira siregar

Gambar
 

fungsi pembangkit by lamsinar silalahi

Gambar
 Fungsi pembangkit (generator function) merupakan sebuah  fungsi yang dibangkitkan dari sebuah barisan bilangan.dimana fungsi berbentuk deret kuasa,yang di notasikan dengan G(x).    Jenis-jenis fungsi pembangkit  1.fungsi pembangkit biasa (FPB) 2. Fungsi pembangkit eksponensial(FPE) Kegunaan dari fungsi pembangkit diantara: -memecahkan relasi rekurensi,misal pada barisan bilangan atau fungsi rekursif. -memecahkan berbagai masalah perhitungan (counting) -membuktikan identitas kombinatorik -pembuktian konkruensi antara bilangan kombinatorial  dan aplikasi pada banyak masalah tingkat lanjut.

teorema binomial dan multinomial by lamsinar silalahi

Gambar
      Teorem binomial adalah  teorema yang menjelaskan mengenai pengembangan ekponen dari penjumlahan antara 2 variable  (binomial)  dan merupakan teori yang merumuskan suatu rumus yang di proleh dari penjabaran ( x+y ) dengan menggunakan kombinasi .     Teorema multinomial  adalah teorema yang menjelaskan mengenai pengembangan eksponen dari penjumlahan antara lebih dari dua peubah atau variable 

Fungsi pembangkit by khoirun nisma

Gambar

Fungsi pembangkit by saputriani

Gambar

FUNGSI PEMBANGKIT by wahyuning trisnani

Gambar
FUNGSI PEMBANGKIT Fungsi pembangkit adalah fungsi yang berbentuk deret kuasa yang digunakan untuk merepresentasikan barisan secara efektif dengan menjadikan suku-suku barisan menjadi koefisien dari variabel x di dalam bentuk formal deret kuasa. TUGAS

TEOREMA BINOMIAL & MULTINOMIAL by wahyuning trisnani

Gambar
TEOREMA BINOMIAL Dalam aljabar elementer, teorema binomial merupakan teorema yang menjelaskan mengenai pengembangan ekponen dari penjumlahan selang dua variabel (binomial). Berdasarkan teorema ini, dimungkinkan kepada mengembangkan eksponen ( x  +  y ) n  menjadi sebuah penjumlahan dari suku-suku dengan bentuk  ax b y c , dimana eksponen  b  dan  c  merupakan bilangan bulat non negatif dengan  b  +  c  =  n , dan koefisien  a  dari setiap suku merupakan bilangan bulat positif tertentu tergantung pada  n  dan  b . Ketika suatu eksponen merupakan nol, faktor yang bereksponen nol tersebut pada umumnya dihilangkan dari sukunya. Contohnya, Koefisien a pada suku axbyc dikenal kepada koefisien binomial binom nb atau binom nc (keduanya memiliki nilai yang sama). Koefisien kepada setiap variasi n dan b dapat disusun membentuk segitiga Pascal. Angka-an...

Teorema binomial by saputriani

Gambar
teorema binomial adalah teorema yang menjelaskan mengenai pengembangan eksponen dari penjumlahan antara dua variabel. Koefisien Binomial merupakan bilangan-bilangan yang muncul dari hasil penjabaran 2 peubah yang dipangkatkan, misalnya (x + y)n.. Yang dalam hal ini “n” merupakan bilangan bulat positif. Penjabaran (x + y)n dengan menggunkan kombinasi dikenal dengan teorema binomial.

Teorema binomial by khoirun nisma

Gambar
Teorema binomila adalah teorema yang menjelaskan mengenai pengembangan eksponen dari penjumlahan antara dua variabel. koefisien binomial merupakan bilangan bilangan-bilangan yang muncul dari hasil penjabaran 2 berubah atau variabel yang dipangkatkan, misalnya (x + y)n.. Yang dalam hal ini “n” merupakan bilangan bulat positif. Penjabaran (x + y)n dengan menggunkan kombinasi dikenal dengan teorema binomial.

Fungsi pembangkit by sulistia marito siregar

Gambar
Fungsi pembangkit (generator function) merupakan sebuah fungsi yang dibangkitkan dari sebuah barisan bilangan.Dimana fungsi ini berbentuk deret kuasa,yang dinotasikan dengan G(x). Jenis-jenis Fungsi Pembangkit 1.Fungsi Pembangkit Biasa (FPB) 2.Fungsi Pembangakit Ekponensial (FPE) Kegunaan dari fungsi pembangkit diantara: *Memecahkan relasi rekurensi,misal pada barisan bilangan atau fungsi rekursif. *Memecahkan berbagai masalah perhitungan ( counting) *Membuktikan identitas kombinatorik. *Pembuktian konkruensi antara bilangan kombinatorial, dan aplikasi pada banyak permasalahn tingkat lanjut lain.

Fungsi pembangkit by rukiah

Gambar
fungsi pembangkit merupakan sebuah fungsi yang dibangkitkan dari sebuah barisan bilangan. di mana fungsi ini berbentuk deret kuasa, yang dinotasikan dengan G(x) adapun kegunaannya adalah 1. memecahkan relasi rekursif ,misal pada barisan bilangan atau fungsi rekursif. 2. memecahkan berbagai masalah perhitungan

The principle of inclusion and exclusion by Rasy

Fungsi Pembangkit by Riska Amelia 2120200046

Gambar
Pengertian fungsi pembangkit Fungsi pembangkit yakni sebagai sebuah pemetaan dari sebuah domain ke suatu kodomain. Fungsi pembangkit berguna untuk membantu menyelesaikan berbagai masalah pemecahan, rekursi, dan relasi pengulangan. Fungsi pembangkit dalam matematika yaitu fungsi yang berbentuk deret kuasa yang digunakan untuk mempresentasikan barisan secara efektif dengan menjadikan suku-suku barisan menjadi koefisien variabel x di dalam bentuk formal deret kuasa.

prinsip inklusi dan eksklusi by lamsinar silalahi

Gambar
1 2